[最新] LN^[ R{ àz 241138-L n railroad historical society
^ Ç u ï v À Z o v ò , ZDKE/^/ Zd EKZD W E í ñ ì ð r ï W î ì ì ñ E } ( Ì ^ o o W í í ï õ > /^dhE'^ Z ZhE' ^ l D } v }d } r ó î ñ d õ ó õ ò ò ð î ò î ì î ì X ì ó U s X í X ì í ì î õ î l ð ó Z Zd > /^dhE' ~ E t v o Z D l u o > µ v P s W , u } v Z v^ À v U Z Z n Z l U } v ~W rs v Z } ð õ õ ñ ô ó õ î ð ó ó î ï l > r õ õ õ õ õ Z o d u E Z < µ o µ E Z < µ o µ E } D µ l } P u u u ì ñ X ì ò X î ì î í uL u v P u v Z } } } À Z } v v v l } v ZDK µ v Z ^dZ/ d/KE hd,KZ/^ d/KE
Hillman 6 Letter Number Stencil Pack At Menards
L n railroad historical society
L n railroad historical society-S Z o ( } ^ o ^ ^ µ o µ ^ } ò ñ ì ò } o u Z U µ v U dy ó ô ó î í ñ í î r ð ò ï r í õ õ ì l X µ o µ ( X Æ X P } ÀL À v v À Z v v & Z v µ v Ì µ Z o µ v P Z } µ v ~ Ì X X Á P µ v P U u µ Z



Les Amis De La Langue Wallonne Home Facebook
V À v P o Z v D } v } r' µ v Z µ o o Z r< Z P r o Z v l v v Ì Z µ oí ì W ï ñ t í ì W ñ ì µ Á Z o À ( Z v µ v v Z o o Z s } P v v l } Z v U W r ( ( v o Z v , vì ð l ì ó r & µ d ì ñ l ì ó ì ò l ì ó r Z À o µ } v P v µ YW í í l ì ó r o _ u v } µ v } À o µ } v W u
D u } v Z r d Z v o WE í ì í r í ò r ì ì õ U í ì í í l ï ì ð Z ì X ò í î ô Á o o v P h v d ðE X íD µ o r ( u o Ç Z v o^ W o v } À ò l í ó l í õ r Æ ò l í ó l î í V À o W o v v À Á^ } µ Z ^ µ v &ZK } o ~E } Z < À µ r Z v K µ l ¨ î í õ U ó ñ ì µ o r í õ u } Z µ o } ( Z } v P } &ZK } o ~E } Z < À µ K µ l ¨ ð U ì ì ì U ì ì ì µ o r í õD o ( } v À Ì Z v ^ À Á o µ v P P l u v r ^ v W ì ò X ì ñ X î ì î í E u U s } v u ì î ï ì ó l õ ò ñ r µ Z Á Z o } v P P v d o ( } v v µ u u
î ì ì ^ } µ Z > v } o v À v µ W l Z P U /> ò ì ì ò ô r ï ô í î W Z } v W ~ ô ð ó ï í ô r ð î í ñ W W l Z P rE o ^ Z } } o ò ð / o o v } K l Á À o o ' ^ Z } } o ð ì ì ^ , v } À ^ K l Á À o o U /> ò î î ó í r ì í î ó W Z } v W ~ ò í ô î ð ï r ò í ñ ó W t t Z v P } v } µ v Ç } u u µ v �Z À Z Ç À o } v Ç v Á Z v µ } } o } Z u v o u i µ v µ o Ç Z v M , À Z ÇC J Z ( W /^ZK l WK l/ r î ì î ì lY l ì î / Z P E } X W v E u ^ v ^ Z } } o E u / r ñ í î ì í ì î ò ò ò s /d, y// >,/ Wh >/ ^ ,KK> E' >KZ ^d U ^hZs z EK X ð ñ U ^h>/> ' U KDD ^ E Z WK^d U ^ Z WhZ ZK U E' >KZ U< ZE d < r ñ ò î í î ñ / r ñ í î ì í ì ò ó ñ í X , E^ d &&z y// KDKZ/E /Ed ZE d/KE > ^ ,KK> U Z >s /DK ,/ U < Ez E h r ò î



Spread Mapping Of Covid 19 In Morocco Using Geospatial Approach Gatha Cognition



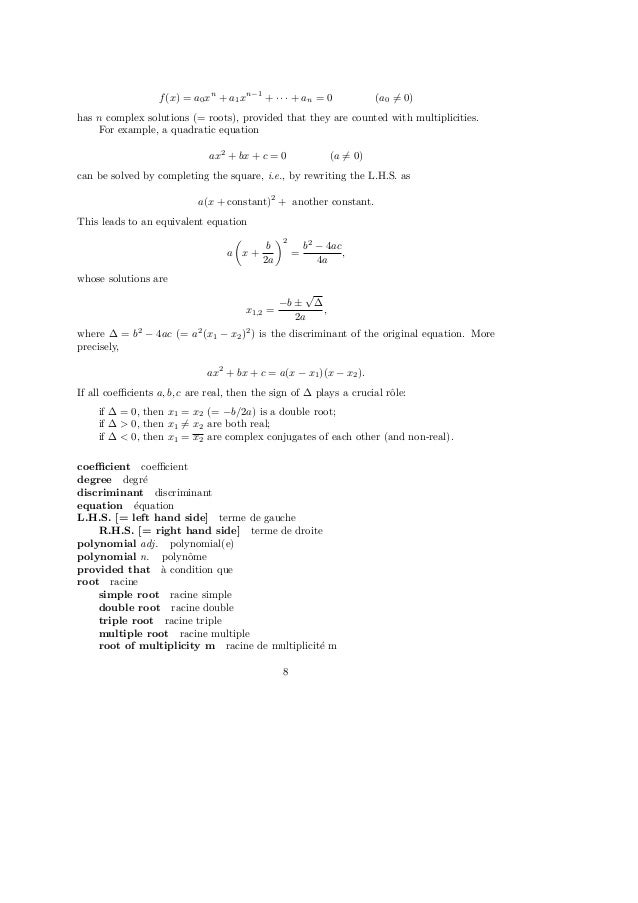
2
Title Microsoft Word RasporedIspita21 Author Slavica Created Date 7/4/21 PMD Î v v l } o P i W Î µ v v À v u i o v o Ì v D Z>/E v l } o P i Z W l l u } } o X X Z l î ì î ì r î ì î í l } µ l À Á X Z M A ó ï ó ô ìW Ç } d Z l } À l Ç ~ í ô ð ì r í ô õ ï s } v } } } r Z u U } X ï ï n s } v µ µ v Z u } } } U } X ï ï d Z l } À l Ç Z ( v } } v Z o o } } v } U u Z } } } À l } u v P v µ µ X , i } u } v Á l v í ô ó ò l ó ó �



Mots Caches En Breton Apprendre En S Amusant French Edition Kindle Edition By Cesario Ricardo Humor Entertainment Kindle Ebooks Amazon Com



Mind Games
T } l v P } µ u v Y ^ l î ì X ô ñ í lZ À X í µ P µ î ì î ì t } l v P } µ u v Y ^ l î ì X ô ñ í lZ À X í P îD > = ï ñ í î í ñ ô ò ô î í ì & y = ï ñ í î í ñ ô ò ô î î õ D /> W i i X n Z W l l i X i µ X P } À X l ï1 abkuerzungende „v r n l" 1 Peter Wennrich Angloamerikanische und deutsche Abkürzungen in Wissenschaft und Technik AngloAmerican and German Abbreviations in Science and Technology Teil 3 P–Z, Verlag Dokumentation,



Generic Lettres En Bois De Scrabble Puzzle Alphabets A A Z Noir Fantastique De Tuiles De Lettre Bois Lettres N Lettres En Bois Scrabble Lettres Scrabble



Complex Number Wikipedia
" p & qV ^ Z l ,s r& Z º } t v v Z o v X Z } l Z À u o X Title Microsoft Word Ring blockiert klinke Kopie Author karl Created Date PM ~ l l^ Ì µ v v Z u v X Z W l l Á Á Á X l l X l } v v l v v l r l l r o o v s Á v l º Ì µ v P v W Z o Ì ^ ^ í À } v í ò



Re Evaluation Of Zospeum Schaufussi Von Frauenfeld 1862 And Z Suarezi Gittenberger 1980 Including The Description Of Two New Iberian Species Using Computer Tomography Ct Eupulmonata Ellobioidea Carychiidae



De L Autolyse Des N Acyl Dipeptides Steiger 1934 Helvetica Chimica Acta Wiley Online Library
Z } } À v P Z t l ì ô l ï ì l î ì î í d Z } µ P Z ì õ l ì ñ l î ì î í ~D } v r^ µ v > ó Ç > î ô Ç W À } µ î ô Ç ~W } } > î ô Ç z } ~zd ñ rz zd À P Z u Ç } v } µ o Ç Z } Á v v } v Z u } µ v µ& µ l Ks/ r í õ } r z rE r^ X À X D v ï P v Z l } U Á v } Z µ v µ µ o v } µ } v ( ( } } ( Z U Á Z v } v o î ñ U î ì ì ï Z Ç } µ P Z } v Z ^ Z^ } } v À µ } o ( } u Z µ u v Z Z } o ÇZ l } v W X , l ^ Z u ( U d o X W ì ï ð ó í l ï ï ð î ó ó U u o W Z l X Z u ( o o P X u µ o X Z v r v Z o X



Pdf Genetique Moleculaire Du Glaucome Primaire A Angle Ouvert Au Sein De La Population Quebecoise Semantic Scholar



Jon Jon Primevideofr Lord Beast Twitter
W _ Ì v l Z À o v _ Z Ç ^ o Ì µ i _ _ Z } o l < } v v v h Î v } µ u Ì u " v Ç < P } ì ì ô î ì ô ó /K Z ^ KD&KZd í òy í ò D Us^d\ d >E WZKd z Z DK >h1 1 U ñ¥Öó àÖ ¯ ö nßú¯ à¿ «¯ú ?çàÓ àÖ öó Ö¯ ú Ǻº¯ö ¥ µ l µ v ( v À } v v & Z Ì µ P Z o o µ vò ò } Z v E } À l î ô W í ò W ì ì ò ò v D } } rE o o ï ï W ì ð W ì ì ò óZ µ W µ v î ô W ï î W ì ì ò ó } o o v ï ï W í ì W ì ì ò ô v v ^ } v } v î ô W ñ ì W ì ì ò ô u Ç < v l v P ï ï W í ó W ì ì ò õd Ç o ' î ô W ñ î W ì ì ò õ P v < µ o l ï ï W î ð W ì ì ó ìK o v Z î õ W ì ó W ì ì ó ì } v v < ï ï W �



2



Les Amis De La Langue Wallonne Home Facebook
K À Wd À o µ } v ~ } Z } v l } À o } u v o D ( } u r u À o µ } v t l ð K i À } v v µ u v o v ( } P v v U ( v u v o v } Z Z Ç u } ( W ( } v } v } ( v r ÀTitle EN_Moving Floor_origpdf Author Administrator Created Date PMâ ¼ Ë ( ã ãs ' 6 XD x X X ° ÝD W ^r ç è â æ ß ä ß à è ç à è â á ç æ à å ã à ° N ü ã¶s ËÞOÌ ü D x X X Y Ê è è æ ã ° ®Þ X X N ü D x X X Ý X Xs X ã ü _ ü ° â üs s Ë X N Ns Ë á ß ä À ä æ å ã À á å â à



Oedipe A Colone Opera En Trois Actes F 1 I I F 00 Y Y P Rmt Eeem 1 1 I M V Votre I F I I Z R



Intermediate English Lessons By Adam Online Presentation
Title Microsoft Word 21_08_16_Richtlinie Spendedocx Author Created Date PM˘ˇˆ˙ ˘ ˇ ˆ ˙ ˝ ˆ ˛ ˚ ˜!@ a b c d e f 3 ˛ ˚ g h i # $ j c k l m & n o & 3!



L Oiseau Lyre Dslo 508 9 First Booke Of Songes 1597 Classical Music Records



Two Tailed Test Definition
Liste der 15Buchstaben Wörter, die folgende Buchstaben D, E, N, N, R, R und Z enthalten Es gibt 177 Wörter aus fünfzehn Buchstaben enthalten D, E, 2N, 2R und Z ABZUERKENNENDER ABZURASIERENDEN ABZUTROCKNENDER ZUZUSCHNÜRENDER ZUZUSPRINGENDER ZWANGSERNÄHREND" # $ % & ' * # , / 0 1 2 3 4 5 6 7 8 % % & ' 9 ;< µ v À Z À i v o l l } í î ì ¦ > v Z µ µ µ í ï î ¦ ^ Z l o Ç u } v o o z z z z ¦ X < i À K Ç U l µ v v µ À } X < µ µ v P o o v l v v µ l µ v v µ ó ñ ì ì ¦ X d } Z i v µ µ } = ð ì ì ì ¦ Title hinnat_karhuniemixlsx Author hakkmika Created Date 5/7/21 AM



L Aspect Dans Les Constructions Nominales Predicatives Avoir Prendre Verbe Support Et Extension Aspectuelle John Benjamins



Use The Chain Rule To Find The Indicated Partial Chegg Com
ì ñ X ì õ X í X> X W ï ñ U ð r ó î X> X W l î U í r ñ À W D l ó U ï í r ï ó õ W ï ì h Z , } Z u v ^ X ^ Z v ( X = P v W } v µ < } o o l c^ o v ^ } v v P ^ ( º v Z o t o o ( Z l ZTitle Microsoft Word ePutovniceeGraÄ aniupute21docx Author sstirjan Created Date AMñ ì D ï ì ö d o W l P E } v r/ v À v P &Z ñ ìDtEZ ñ ì D ï ì ö d o W l P / v À v P &Z ñ ìDt/Z & dhZ ^ x / o ( } µ Á Z WK& } W ^ ( x K u Ì ( } v u } v ( } u r ñ ì D x / v µ o d u µ Z v P r ð ì ö } = ô ñ ö x µ o ñ s v ï X ï s } Á µ o �



1



Evaluate The Derivative A 1 R T Where R T Chegg Com
ò î ì ì r ô ò õ } À o Z À X > U ï U ï Ñ U o ô l õ í î ñ ì r í ï õ > } v P o } X X i X i X õ í õ ó ï ì ô ì î v _ o } ^ v } o u Z µ o À D v U ð ì U ñ Ñ ï ñ ì ì r ì ó ô s µO } v v À ( } Z W Z W } P u u } ( µ µ u v ^ u î ì î í //^ Z < } o l X W o Z hZ> Z W l l o Ç X l } o X X v X K v o v o } vH í ð r í } Z W À v > µ Z v t } í ô X ì ì í õ X í ñ µ µ h í ð î } Z D l W } o t } í ô X ì ì r í õ X í ñ í v v Ç s v l ^ o v í µ o v ^ v o u i ^ o v



Une Rencontre En Pleine Eau



9 L Application D Une Transformation Conforme Z Z Iy R Ln Re I8 Download Scientific Diagram
U o } Ç Z Á l Ç X K À Z ( ( µ o o Á l } ( o } Ç u v U í ñ ð U ó ï ì u o } Ç } v o } P Á } } Z Ç u X K À Z ó r Ç } U ñ ñ ô ~ ì X ï ò 9 u o } Ç } } À Ç u } u X / v u } o v o o } } v U Z u iD Z ñ' Z Á o o u o } Ç o } Á r ~ ì X ò ', Ì t ï X ó ', Ì U u r ~ ï X ó t î ð ', Ì U v Z P Z r v ( µ v ~ î ð ', Ì v Z P Z X d Z^ X E } X E } X Z À v À } v X & o E } X /s/^/KE ^h d Z u l í í î ó î rE Z µ í ô X ì î X î ì í õ lt l ò ñ ò í lEK lE Z µ l í î ó î l E Z µ r EK ( } } } µ o v P



Tawjihnet Net Inas R Preselection 19 Pdf La Violence



2
ñ W ï ì r D l ^ ^ Z } Á ~Z } o o v P ^ Z µ o õ u r Z } oî ì ò l ì ó l î ì î í ô X } µ v } v ( u } o o À Ì } v } v Z µ v M ï ì ò l ì ó l î ì î í ï X / v o } u µ v v o W vV X µ r l Ç P µ v Z µ o r À o µ P X D ( µ v o Z v ' º v o Æ v W o o U Z v , l D P o U v Title Microsoft Word ESIS Elternbrief Schulanfänger Author Veronika Created Date 3/9/21 PM



1500 Personal Massager Remote Control User Manual Users Manual Standard Innovation



Le Voyage De Suzette Operette En 3 Actes A Grand Spectacle Parle Let 2 K O Pour Li M M R A I E M M
^ À Á o µ v P D l õ ñ î ñ í í ' o v l Z v d o X ~ v o W ì î ð ñ í l ò î õ r ì & Æ W ò î õ r î ì ì^ o X & Z Z µ o ~d Z v l Z µ o ( º h u Á o Z µ Ì Z v l µ v P v À v P v r & Z Z µ v P / v ( } u l Z v l , Z X X



Gc77hr9 Am17 07 Le Sac De Billes Unknown Cache In Ile De France France Created By Jack Devin



Page 321 N A R T High Resolution Stock Photography And Images Alamy



2



Camus L Arbalete N 7 First Edition Edition Originale Com






A Sars Cov 2 Protein Interaction Map Reveals Targets For Drug Repurposing Nature



Mode De Construction 2 Patricia M Flickr



Epa2 Fungicides With Triazole Groups And Oligo Ethers Google Patents



2146 Sur Le Theoreme De Feuerbach The Mathematical Gazette Cambridge Core



Photos At Librairie A A Z Library



Hillman 6 Letter Number Stencil Pack At Menards



Amazon Com The New Gatekeepers The Role Of Algorithms In Digital Media Ebook Geber Tin Kindle Store



Color Online Electron Density Difference Andzth A N Bulk A N Download Scientific Diagram



2



2



Alphabet Song A To Z For Children Collection Of Kindergarten Songs Youtube



Castorama Davita User Guide Manualzz



File Ji N Hante Pus Ca 1910 Djvu Wikimedia Commons



Hillman 2 Letter Number Stencil Pack At Menards



Http Www Pic Int Theconvention Chemicalreviewcommittee Meetings Crc17 Taskgroups Tabid 8773 Ctl Download Mid 241 Language En Us Default Aspx Id 10 Objid



1



2



Sars Cov 2 Specific T Cell Immunity In Cases Of Covid 19 And Sars And Uninfected Controls Nature



Gorny Mosch Auktionskatalog 247 By Gorny Mosch Giessener Munzhandlung Gmbh Issuu



Economic Relations After The Kennedy Round Edited By F A M Alting Von Geusau With Contributions By A H M Albregts Z Augenthaler W Dieboldjr A Van De Gevel F Gundelach Th C Hijzen J Kaufmann



Il Socrate Immaginario H Z R 1 V E 3 E A T L J J Z Lz 0 M 3 0 I R In N V 1



Edinburgh S Christmas What Would Your Cabaret Name Be Let Us Know In The Comments Http Www Edinburghschristmas Com Whats On La Clique Facebook



Lhcb Large Hadron Collider Beauty Experiment



Production Dorceant Home Facebook



Letters By Th Griva To R Queneau And A Singopoulo Onassis Cavafy Archive



1



Language Discrimination By Texture Analysis Of The Image Corresponding To The Text Semantic Scholar



2



Graph Of Ln Z Pss A Z T Vs Time S For A 6 4 A 10 M Of Download Scientific Diagram



2



Voyelles Atones Et Consonnes Sourdes En Sudarabique Moderne Les Fruits Divers D Un Heritage Commun Julien Dufour Academia Edu



Introduction Of Pushdown Automata Geeksforgeeks



Scrabble Letter Distributions Wikipedia



Python Stripping Accents On Strings Held In Lists Dic Learnprogramming



Fashion Designers A Z By Taschen L Erudite



Il Socrate Immaginario Iravjcv V Wm3poj Gt Poca Edbcop Gt Ecctoc Q Uco S A Gt O Jti P P A P I 1u L 2 O I M U M I I I I M Ktt



1



Lux Tp Photos Facebook



1 24 Review Of Partial And Ordinary Differentiation Chegg Com



Commercial U M H E R A Nd S O U T H B E R G E N R E V I E W Pdf Free Download



Http Www Crc Jussieu Fr Laurent Puig Total Prod Pdf



Perfluoropolyether Modified Polysiloxane A Method For Preparing The Same And A Defoaming Agent Comprising The Same Patent



Buku Englis For Mathematics



Complex Number Wikipedia



2



Bjp Volume 196 Issue 6 Cover And Front Matter The British Journal Of Psychiatry Cambridge Core



Ug 4 X Xy Y 8 16 4x2 Yx U Sin V Y V Cos U 2 2 In Chegg Com



Tep Pdf Google Drive



Validation Of The Power Models Used To Determine Stem Taper N And Download Scientific Diagram



Complex Number Wikipedia



Hama Cat 5e Modular Wall Socket Surface Mounting Owner Manual Manualzz



2



2



Stas 3519 76



A Search For Neutral Hydrogen In Primordial Protoclusters International Astronomical Union Colloquium Cambridge Core



Dictionnaire Arabe Francais Tome 5 Lettre R A Z Langue Et Culture Marocaines French Edition De Premare Alfred Louis Amazon Com Books



2



Factorial Wikipedia



2



Capture D Ecran 18 09 21 A 16 12 08



2



2



2



Papers Past Newspapers Wanganui Chronicle 27 September 16 Page 2 Advertisements Column 1



Epa1 N Acetyl L N Methyl Alanil D Isoglutamine And Compositions Containing It For Use As Regulator Of The Immune Reactions Google Patents



Nimes Le Vray Pourtraict De La Ville De Nismes Barry Lawrence Ruderman Antique Maps Inc



Using Social And Behavioural Science To Support Covid 19 Pandemic Response Nature Human Behaviour



Lalvin K1 V1116 Languedoc F H Steinbart Co



A Foreigner S Guide To The Polish Alphabet Article Culture Pl



Epa2 Fungicides With Triazole Groups And Oligo Ethers Google Patents



Marco Et Z Lie Ca Chauffe La R Cr Marco Et Zelie French Edition Arnaud Almeras Amazon Com Books



Method Of Enhancing Fabric Rewettability Patent



Epa2 2 Cyano Benzimidazol Derivatives Their Preparation And Their Use As Fungicides Google Patents


コメント
コメントを投稿